Прожекторы направленного света под газоразрядные лампы ДНаТ, МГЛ, ГЛН и КЛЛ

Производственно-инжиниринговая компания
Производственно-инжиниринговая компания

Прожекторы направленного света предназначены для промышленного применения во взрывоопасных средах в помещениях и наружных установках (группа II) с содержанием газа и горючей пыли соответственно для взрывоопасных зон 1 — 2.

Прожекторы направленного света предназначены для промышленного применения во взрывоопасных средах в помещениях и наружных установках (группа II) с содержанием газа и горючей пыли соответственно для взрывоопасных зон 1 – 2.

В прожекторах применяется вид взрывозащиты Ex d – взрывонепроницаемая оболочка. Поставляются также с видом взрывозащиты Ex de. Имеют узкосимметричное светораспределение и применяются для направленного освещения с большой высоты или на большие расстояния.
Прожекторы направленного света под газоразрядные лампы ДНаТ, МГЛ, ГЛН и КЛЛ
Содержание
ГОСТ Р МЭК 60079-7-2012
Ex tb IIIC «T135°C…T230°C» Db Х
ГОСТ Р МЭК 60079-0-2011
–60/–45 … 40/60 °С
Соответствие стандартам таможенного союза:
Диапазон рабочих температур:
Степень защиты:
Сертификат соответствия:
Зоны применения:
1 Ex d IIC «T4…T2» Gb Х
IP66
№ТС RU C-RU.ГБ08.В.01661
Зона 1, Зона 2
ГОСТ IEC 60079-1-2011
ГОСТ Р МЭК 60079-31-2010
Вид взрывозащиты:
Прожекторы направленного света состоят из корпуса, изготовленного из коррозионностойкого модифицированного алюминиевого сплава, а также рамки с термостойким боросиликатным прозрачным стеклом с высокой механической прочностью с резьбовым креплением.

Окрашивание эпоксидной порошковой краской. В условиях высокого риска механических повреждений на прожектор необходимо установить защитную решетку. В прожекторах применяются лампы накаливания разной мощности, ртутные газоразрадные лампы, натриевые лампы высокого давления и металлогалогенные лампы разной мощности. Прожекторы поставляются с внешней оболочкой с компонентами ПРА, необходимыми для зажигания и работы газоразрядных ламп.



Прожектор без коробки Ex d:
прямое подключение к патрону из керамики внутри корпуса. Для доступа снимается рамка со стеклом. Максимальное сечение кабеля должно составлять 4 мм2.
Прожектор с оболочкой Ex d: подключение к клеммной колодке в верхней оболочке. Для доступа снимается крышка оболочки. Максимальное сечение кабеля должно составлять 4 мм2. Эта версия прожектора позволяет реализовать схему питания вход/выход.

Прожектор без оболочки Ex d имеет 1 ввод для кабеля. Стандартная резьба вводов — ¾ NPT (ANSI/ASME B1.20.1).
Прожектор с оболочкой Ex d имеет 2 ввода для кабеля. Стандартная резьба вводов — ¾ NPT (ANSI/ASME B1.20.1).
Другое количество вводов и другие типы резьбы по запросу.

Прожекторы комплектуются опорным кронштейном и поворотной лирой.
Описание
  • Порошковое эпоксидное окрашивание, RAL 9006.
  • Версия без коробки Ex d: 1 отверстие NPT 3/4.
  • Версия с коробкой Ex d: 2 отверстия (1 с сертифицированной заглушкой).
  • ПРА 230 В (АС) – 50 Гц (для прожектора с газоразрядной лампой).
  • Уплотнительные кольца из силиконовой резины.
Технические характеристики
Стандартная комплектация
  • Нестандартное порошковое эпоксидное окрашивание.
  • ПРА для других напряжений и/или частот.
  • Лампа.
Опции и аксессуары, поставляемые по запросу
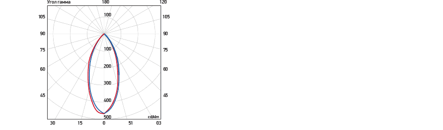
Фотометрические данные
Для заказа оборудования свяжитесь с нами